
News
Job Opening- SHAC Commissioner
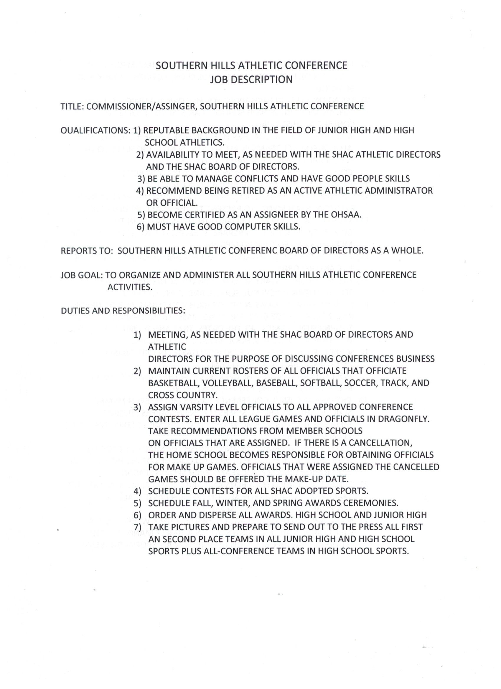
The Southern Hills Athletic Conference is looking for our next Commissioner. The job description is below, and compensation will be negotiated. Please contact james.wilkins@rulh.us or tim.carlier@ fpls.us if interested.

Page 2

JUNIOR HIGH GIRLS CROSS COUNTRY TEAM PICTURES
1ST PLACE
FAIRFIELD

2ND PLACE
NORTH ADAMS

JUNIOR HIGH BOYS CROSS COUNTRY TEAM PICTURES
1ST PLACE
FAIRFIELD

2ND PLACE
LYNCHBURG-CLAY

CROSS COUNTRYAND FUN RUN RESULTS
SHAC_HS_Boys_2025_Final_Top15 (2).pdf
SHAC_HS_Girls_2025_Final_Top15.pdf
SHAC_JH_Boys_2025_Final_Top15.pdf
SHAC_HS_Girls_2025_Final_Top15.pdf
FUN RUN RESULTS AT
TRISTATERACER.COM UNDER
SOUTHERN HILLS ATHLETIC CONFERENCE MEET
7th grade Volleyball pictures
TOURNAMENT CHAMPIONS
AND DIVISION II 1ST PLACE
FAIRFIELD

TOURNAMENT RUNNER UP
LYNCHBURG-CLAY

1ST PLACE DIVISION I
WEST UNION

